class template

std::cauchy_distribution

<random>
template <class RealType = double> class cauchy_distribution;
Cauchy distribution
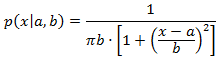
Random number distribution that produces floating-point values according to a Cauchy distribution, which is described by the following probability density function:



This distribution produces random numbers as the result of dividing two independent standard normal random variables (Normal with μ=0.0 and σ=1.0), like a Student-t distribution with one degree of freedom.

The distribution parameters, a and b, are set on construction.

To produce a random value following this distribution, call its member function operator().

Template parameters

RealType
A floating-point type. Aliased as member type result_type.
By default, this is double.

Member types

The following aliases are member types of cauchy_distribution:

member typedefinitionnotes
result_typeThe first template parameter (RealType)The type of the numbers generated (defaults to double)
param_typenot specifiedThe type returned by member param.

Member functions


Distribution parameters:


Non-member functions


Example

1
2
3
4
5
6
7
8
9
10
11
12
13
14
15
16
17
18
19
20
21
22
23
24
25
26
27
28
// cauchy_distribution
#include <iostream>
#include <random>

int main()
{
  const int nrolls=10000;  // number of experiments
  const int nstars=100;    // maximum number of stars to distribute

  std::default_random_engine generator;
  std::cauchy_distribution<double> distribution(5.0,1.0);

  int p[10]={};

  for (int i=0; i<nrolls; ++i) {
    double number = distribution(generator);
    if ((number>=0.0)&&(number<=10.0)) ++p[int(number)];
  }

  std::cout << "cauchy_distribution (5.0,1.0):" << std::endl;

  for (int i=0; i<10; ++i) {
    std::cout << i << "-" << (i+1) << ": ";
    std::cout << std::string(p[i]*nstars/nrolls,'*') << std::endl;
  }

  return 0;
}


Possible output:

cauchy_distribution (5.0,1.0):
0-1: *
1-2: **
2-3: ****
3-4: **********
4-5: ************************
5-6: *************************
6-7: *********
7-8: ****
8-9: **
9-10: *

See also